Рефераты

Дипломная работа: Сущность правового регулирования общественных отношений в области оценочной деятельности

Причины такого решения:

1. Необходимость дополнительной проверки обоснованности для конкретного случая определения стоимости этих усредненных показателей.

2. Усреднение цен сделок с земельными участками не основано на единой методике. Но роль усредненных показателей будет усиливаться для определения налогов.

3. Ориентировочные цены земли основаны исключительно на свойствах незастроенных участков, а для определения рыночной стоимости застроенных участков необходимо брать факторы сравнения. Применение ориентировочных цен земли для оценки застроенных участков означало бы упор на эти факторы, а не на собственно цены сделок с самими аналогами.

4. Анализ и использование ориентировочных цен земли вместо цен рыночных сделок имело бы последствием чрезмерную бюрократизацию оценки, что не соответствует интересам ни немецкого государства, ни рынка [13].

Однако такая новелла может привести к снижению интереса к развитию теории и практики определения ориентировочных (выровненных) цен земли, что всегда считалось одним из преимуществ информационного обеспечения рынка недвижимости Германии. При этом требование об определении границ ценовых зон в интервале 20% колебания цен вокруг средней – ориентировочной цены земли – закреплены Конституционным судом Германии (например, в решении от 7 ноября 2006 г.) в рамках дел, связанных с установлением налогов на наследство. Предпринятая в период кризиса попытка верхней палаты Парламента определить 30%-ное отклонение в выровненных ценах земли по ценовым зонам как приемлемое для этих целей в силу необходимости использовать в качестве исходной информации значительное число сделок по каждой ценовой зоне не нашла понимания в Правительстве (из-за необходимости применения этих цен для принятия мотивированных судебных решений).

Кроме того, теперь от оценщика требуется произвести скидку на обесценение земли застроенного земельного участка в размере обычных затрат на освобождение участка от улучшений, если это соответствует обычной практике делового оборота. Это позволяет избежать искусственного вздутия цен. Существенной нормой стал учет отклонения объема фактического использования и застройки или местоположения оцениваемого земельного участка от обычных для делового оборота условий, от разрешенных норм или обычных размеров застройки аналогичных участков в данном месте. Ранее такая норма была ориентирована на оценку в рамках мероприятий по санированию территорий. Это означает существенное сближение рыночной стоимости земли и ее стоимости по фактическому использованию при значительном сроке дальнейшей эксплуатации застройки:


LV = LVфакт + (LVразр./обычн. – LVфакт) × 1 // (1+p)n (1)

где LV – рыночная стоимость всего земельного участка;

LVфакт – стоимость земли на основе фактического использования;

LVразр./обычн. – стоимость земли на основе разрешенного или обычного использования;

p – ставка капитализации;

n – остаточный срок жизни застройки.

Пример:

LVфакт при плотности застройки 800 м2 на стандартном участке 10 соток = 244 €/м2.

LV разр./обычн. при плотности застройки 1200 м2 на стандартном участке 10 сот. = 300 €/м2

p = 5%

n = 20 лет

Итог: LV = 244 €/м2 +56 €/м2 x 1/ 1,05 20.

Учет расходов на подготовку земельного участка под застройку (прежде всего на снос существующей застройки), если по физическим или экономическим причинам такой снос является ожидаемым в обычной практике, становится для оценщиков обязательным.

Сама рыночная стоимость земельного участка, как свободного, должна быть уменьшена на приведенные затраты по освобождению участка от застройки с учетом срока ее дальнейшей эксплуатации (по ставке капитализации для соответствующего вида использования участка в данной местности). Расходы на это освобождение должны соответствовать их рыночному (обычному в деловом обороте) уровню на дату оценки. Рост или скидки на данные мероприятия трудно прогнозировать, т.к. возможно, что к концу срока эксплуатации застройки требования к очистке грунтов могут быть существенно увеличены. Для практики Германии характерно то, что дополнительные риски, связанные с загрязнением почвы, являются существенными. В итоге рыночная стоимость земельного участка при особенно плохом состоянии участка и застройки может составлять нулевую величину. Заставить собственника снести строение закон позволяет только в случае угрозы безопасности и порядку. Но даже в этом случае у собственника есть возможность отсрочить такое решение. В итоге оценщик обязан предусмотреть реальный срок принятия решения о сносе строительных и иных улучшений [13].

Правила применения доходного подхода к оценке единого объекта недвижимости в новом Постановлении получили более серьезные изменения. Принципиально они полностью соответствуют требованиям ранее действовавших редакций 1988 и 1998 гг. Но новое Постановление определяет три метода, которые при правильном применении должны давать совпадающие результаты. Кроме того, при оценке доходным подходом, особенно больших застроенных земельных участков, необходимо условно выделить из общего участка часть, которая не требуется для существующей застройки и может, исходя из местных условий, нормативных требований и своего фактического состояния, использоваться самостоятельно. Данная часть участка должна быть оценена в рамках оценки земельных участков.

Методы, определяемые новым Постановлением:

1. Двухстадийный метод (назван в Постановлении общим методом доходного подхода):

EV = (RE – p × LVзд.) × V+ LVвсего, (2)

где EV – стоимость в рамках доходного

подхода;

RE – чистый операционный доход от эксплуатации объекта оценки;

p – ставка капитализации по недвижимости;

q = (1+p)

V – фактор текущей стоимости аннуитета с учетом срока экономической жизни застройки;

LVвсего – стоимость всего земельного участка как свободного;

LVзд. – часть участка, относящаяся к текущей застройке.

2. Одноэтапный метод

Упрощенный метод – хорошо работает при сроке дальнейшей эксплуатации зданий не менее 40–50 лет:

EV = RE x V+LVсамост.+ LVзд. / qn, (3)

где LVсамост. – часть участка, возможного уже на дату оценки к самостоятельному использованию.

n – число периодов получения доходов от застройки.

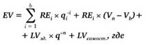
3. Многопериодный метод можно использовать при предполагаемых существенных отклонениях от обычных для данного рынка доходах:

 (4)

i – конкретный период (год) в диапазоне до n лет;

Vn– фактор стоимости аннуитета за период n, при n >b.;

Vb – фактор стоимости аннуитета за период b.

Первый и второй методы названы методами доходного подхода на основе обычных для данного рынка получаемых доходах. Однако и 3-й метод обязан основываться на достоверной информации о периодически получаемых доходах в расчетный период и стоимости реверсии в конце него. При этом существует вопрос, как в этом случае провести четкую границу между достаточной достоверностью на основе объективных фактов и собственно прогнозом как субъективной деятельностью? Теперь в основу расчетов по доходному подходу должны ложиться данные по «обычно получаемым рыночным доходам» вместо ранее действующего понятия «стабильные доходы». В общем виде при всех методах доходного подхода необходимо капитализировать доходы через ставку капитализации по данному типу недвижимости, как обычные для данного сегмента рынка чистые доходы, так и отклонения в чистом доходе при использовании многопериодного метода. Тем самым ожидаемое изменение доходности должно рассчитываться на основе действующей ставки капитализации, а не на методах прогнозирования, как при применении DCF. По мнению большинства немецких оценщиков, метод DCF при всей видимости математической корректности вводит в заблуждение [13].

Причины этого следующие:

1. В теории и на практике под DCF понимается метод доходного подхода, при котором исходной информацией являются не обычные на дату определения стоимости доходы, а прогнозируемые. Эти доходы не капитализируются необычными ставками капитализации (all over capitalization rate), а особой ставкой дисконтирования, ориентированной на рынок капитала. В итоге речь идет о признанном методе оценки бизнеса или об определении инвестиционной стоимости.

2. Так как в настоящее время нет приведенных DCF именно к оценке объектов недвижимости, то и немецкое экспертное сообщество не признает его адаптированным для этих целей. На практике использование данного метода не исключено, однако немецкие суды такие методы не подтверждают, поскольку прежде всего самим пользователям таких оценок сделанные вычисления представляются непонятными и необоснованными [13].

В случае если на дату оценки действующие ставки аренды (доходы) отклоняются от обычных доходов для данного состояния рынка, это должно приводиться в соответствие с рыночной ситуацией путем корректировок ставки капитализации, а также дальнейшей корректировкой через скидку/накидку на индивидуальные особенности объекта оценки путем анализа нормативных требований применительно к данной сфере. При этом многопериодный метод позволяет учесть данные отклонения непосредственно путем использования фактически действующих ставок, а в двух других методах данное отклонение должно определяться путем капитализации различий в обычных и фактических договорных отношениях.

Доходный подход предполагает обязательность учета при определении чистого операционного дохода рисков непоступления или снижения арендных платежей, в том числе из-за временного простоя помещений, а также риска роста непредвиденных расходов на решение всех связанных с арендными договорами правовых вопросов. Здесь необходимо указать, что длительный простой помещений должен уменьшать и сам размер извлекаемых валовых доходов. На практике это определяет необходимость при анализе получаемых доходов по-разному учитывать эти два основания снижения чистых доходов.

Учет обязательных платежей и взносов, прежде всего платы за подключение при использовании доходного подхода, заключается в том, что распределение доходов на долю земли и долю застроенной части осуществляется как для земли – без необходимости внесения платы за подключение, а собственно земельный участок оценивается как требующий внесения платы за подключение. Это существенно снижает итоговую рыночную стоимость объекта недвижимости, рассчитанную доходным подходом, так как при длительном сроке дальнейшей эксплуатации объекта эта разница приближается к размеру самой платы за подключение («общий» доходный метод). В случае одноэтапной («упрощенной») модели разница несущественна, если ожидается длительный срок эксплуатации.

Если земельный участок ожидает изменение застройки, то обычные расходы на очистку участка и снос сооружений обязательно берутся во внимание. В отличие от использования затратного подхода, в этом случае (метод I и II доходного подхода) расходы на очистку не учитывают ожидаемый срок наступления, даже если они потребуются через длительный срок. При небольшом сроке дальнейшей эксплуатации необходимо учесть пониженные затраты на техническое обслуживание зданий и сооружений.

Затратный подход по-прежнему складывается из стоимости строительных сооружений, прочих сооружений и оборудования, а также стоимости собственно земли. При этом обязательно учитывается устаревание из-за возраста, а также ситуация на рынке недвижимости и особенности самого объекта оценки. Исходными данными на практике служат нормативы обычных затрат на строительство (NHK). В настоящее время действуют в Германии NHK-2000. Попытка перейти одновременно с изменениями в Постановлении об оценке к новым нормативным затратам была признана Федеральным министерством по транспорту, строительству и развитию городов очень проблематичной не только из-за несовершенства их содержательной части, но и в силу общих настроений. Применение аналогичных затрат по фактически сложившимся затратам уже невозможно (исключение такой возможности связано с некритическим переносом оценщиком данных из литературы и периодической печати в отчеты), необходимо четко ссылаться на каталог NHK, определяющий основные строительные затраты. При этом сами каталоги не лишены недостатков. За последние десять лет это уже третий каталог (первый – 1995 г., второй – 2000 г., проект – 2005 г.). Резкий рост накладных расходов (было 16%, стало 22,5%) вызывал у профессионалов рост заложенной инфляции между справочниками NHK 2000 и 2005 гг. В итоге различные справочники даже дают разные стоимости при их применении в рамках затратного подхода к аналогичным объектам. В итоге в 2009 г. Немецкая Палата Архитекторов (BKI) признала необходимость использовать NHK-2000.

Одновременно нововведения не коснутся изменений в модели потерь стоимости из-за возраста по отдельным элементам зданий. Доказано, что при правильной эксплуатации здания независимо от сроков обновления его отдельных частей объект недвижимости можно эксплуатировать. Основополагающим фактором служит изменение требований к самим объектам, а не к их отдельным частям. Оценка земельной составляющей мало изменилась. Она должна быть основана на цене сделок с участками со сравнимыми характеристиками.

Изменения затронули следующее.

Как и во всех других методах, произошла некоторая смена определений – главное, что затратный подход, как и другие подходы, не будет ориентирован только на затраты, а в большей степени, чем раньше, будет требовать учета ситуации на рынке, точнее, «согласования с рынком». При этом в новом Постановлении согласование с рынком должно основываться на заключении местной экспертной комиссии, а не каком-то другом мнении.

Фактически вводится линейный принцип снижения стоимости из-за возраста строительного сооружения. Это позволит сделать затратный подход более сравнимым на практике работы отдельных оценщиков и экспертных комиссий. Строительные недоделки и недостатки должны быть учтены специальным расчетом. Нововведением является невозможность использования индивидуальных строительных норм, как это было ранее. Теперь используются только обычные нормы для данного типа строительства в расчете на единицу площади. Кроме того:

1.  Отсутствует понятие «стоимость воспроизводства», только – «строительные затраты».

2.  Вводится единый фактор «уторговывания» на рыночную ситуацию.

3.  Отдельно не выделяется особенное производственное оборудование, которое теперь относится к составной части – принадлежности строительных сооружений [13].

При расчетах потерь стоимости из-за строительных недостатков одновременно делается скидка на уменьшение сроков службы здания, валового дохода и применяется увеличенная ставка капитализации (на 0,5%). В затратном подходе необходимые затраты по устранению физических недостатков зданий и сооружений берутся с учетом аналогичного срока жизни этих новых частей, как и всего здания (то есть необходимо и к ним применить скидку на устаревание).

В целом, можно указать на эффективную стратегию регулятора оценочной деятельности в Германии, позволяющего оперативно найти консенсус между правовыми требованиями и передовой национальной и мировой практикой оценки различных объектов недвижимости, а также успешно решать основную задачу по развитию прозрачности рынка недвижимости для всех инвесторов. Быстрый срок принятия новых Правил оценки (первый вариант данного Постановления был представлен 1.04.2009 г.) свидетельствует об оперативном реагировании на комплекс проблем, возникших в последние годы на рынке недвижимости. Такая оперативность должна быть хорошим примером казахстанскому оценочному сообществу, нуждающемуся в современных качественных стандартах оценки объектов недвижимости.


2. Правовой режим оценочной деятельности в Республике Казахстан

2.1 Общая характеристика правового статуса оценщика и принципов оценочной деятельности

В настоящее время необходимость оценки земель, зданий и сооружений, а, следовательно, и подготовки экспертов - оценщиков крайне актуальна. В современной экономике функцией оценщика является не просто определение стоимости имущества, но и подготовка профессионального заключения о варианте наилучшего и наиболее эффективного использования собственности, т.е. рекомендаций по совершенствованию управления анализируемыми активами бизнеса. В этом контексте оценщик является одновременно и экспертом по эффективному управлению имуществом. Сейчас начинается новый этап развития оценочной деятельности - разработка и упорядочивание законодательства по оценочной деятельности.

Оценщик - физическое или юридическое лицо, имеющее лицензию на осуществление оценочной деятельности и обязательно являющееся членом одной из палат оценщиков.

Основными принципами оценочной деятельности являются объективность и достоверность.

Субъектами оценочной деятельности являются оценщики, заказчики и третьи лица.

Оценщики - физические лица вправе заниматься оценочной деятельностью в соответствии с Законом Республики Казахстан от 30 ноября 2000 года № 109-II «Об оценочной деятельности в Республике Казахстан» на основании трудового договора с юридическим лицом, осуществляющим оценочную деятельность, либо самостоятельно в качестве индивидуального предпринимателя на основании лицензии в соответствии с законодательством Республики Казахстан о лицензировании [1].

Оценщики - юридические лица вправе заниматься оценочной деятельностью на основании лицензии в соответствии с законодательством Республики Казахстан о лицензировании.

К объектам оценки относятся:

1) отдельные материальные объекты (вещи), в том числе бесхозяйное, выморочное имущество;

2) совокупность вещей, составляющих имущество лица, в том числе имущество определенного вида (движимое или недвижимое);

3) право собственности и иные вещные права на имущество или отдельные вещи из состава имущества;

4) право требования обязательства (долги);

5) работы, услуги, информация;

6) объекты права интеллектуальной собственности;

7) иные объекты гражданских прав [1].

В оценочной деятельности выделяется четыре направления:

1. Оценка стоимости недвижимого имущества.

2. Оценка стоимости машин, оборудования и транспортных средств.

3. Оценка стоимости нематериальных активов и интеллектуальной собственности.

4. Оценка стоимости предприятия (бизнеса) [14, 234].

В соответствии с этим лицензирующий орган выдает лицензии на осуществление следующих работ (услуг) в области оценочной деятельности:

1. Оценка стоимости права собственности, иных вещных прав, обязательств (долгов) и работ (услуг) в отношении недвижимого имущества за исключением предприятий как имущественных комплексов, подлежащих государственной регистрации воздушных и морских судов, судов внутреннего плавания, космических объектов.

2. Оценка стоимости права собственности, иных вещных прав, обязательств (долгов) и работ (услуг) в отношении движимого имущества (за исключением денег и ценных бумаг), а также подлежащих государственной регистрации воздушных и морских судов, судов внутреннего плавания, космических.

3. Оценка стоимости права собственности, иных вещных прав, обязательств (долгов) и работ (услуг) в отношении результатов интеллектуальной деятельности, в том числе исключительных прав на них (интеллектуальной собственности), а также конфиденциальной информации, имеющей коммерческую ценность.

4. Оценка стоимости права собственности, иных прав, обязательств (долгов) и работ (услуг) в отношении ценных бумаг, паев, долей (вкладов) в уставных (складочных) капиталах, а также предприятий как имущественных комплексов.

Видами оценки являются обязательная и инициативная.

Обязательная оценка в соответствии с законодательными актами Республики Казахстан проводится:

1) для налогообложения объектов недвижимости физических лиц, не используемых в предпринимательской деятельности, а также для определения кадастровой (оценочной) стоимости земельных участков крестьянских (фермерских) хозяйств;

2) для приватизации, передачи в доверительное управление либо в аренду (аренду с последующим выкупом);

3) для ипотечного кредитования;

4) для выкупа и изъятия имущества у собственника для государственных нужд;

5) для определения стоимости имущества должника, когда он или взыскатель возражают против произведенной судебным исполнителем оценки;

6) для определения стоимости имущества, поступившего в государственную собственность;

7) в иных случаях.

Организация работы по оценке имущества, поступившего в республиканскую собственность, производится государственным органом, определяемым Правительством Республики Казахстан [1].

Организация работы по оценке имущества, поступившего в коммунальную собственность, проводится органом, уполномоченным распоряжаться коммунальной собственностью.

Инициативная оценка проводится на основании волеизъявления заказчика по проведению оценщиком оценки любого объекта оценки в соответствии с настоящим Законом и другими нормативными правовыми актами Республики Казахстан.

Право на проведение оценки объекта оценки является безусловным и не зависит от установленного законодательством порядка осуществления бухгалтерского учета и отчетности.

Данное право распространяется и на проведение повторной оценки объекта оценки. Результаты проведения оценки объекта оценки могут быть использованы для корректировки данных бухгалтерского учета и отчетности.

Принципы оценки.

Каким образом оценщик оценивает стоимость объекта оценки? Какие факторы должны изменить или повлиять на величину стоимости?

Профессиональные оценщики разработали логический и системный подход к определению стоимости собственности. Он реализуется через серию последовательных шагов, позволяющих принять во внимание все важные и сколько-нибудь значимые факты, которые могут повлиять на стоимость собственности.

Теоретической основой процесса оценки является единый набор оценочных принципов.

Принципы оценки могут быть объединены в четыре группы:

1. Принципы, основанные на представлениях собственника (пользователя).

2. Принципы, связанные с эксплуатацией собственности.

3. Принципы, обусловленные действием рыночной среды.

4. Принципы наилучшего и наиболее эффективного использования.

К принципам, основанным на представлениях пользователя относятся:

-  полезность;

-  замещение;

-  ожидание (предвидение).

Принцип полезности объект обладает стоимостью только в том случае, если он полезен какому-либо потенциальному собственнику. Полезность – это способность собственности удовлетворять потребности пользователя в данном месте и в течение данного периода времени.

Принцип замещения гласит, что рациональный покупатель не заплатит за объект оценки больше минимальной цены, взимаемой за другую собственность, обладающей такой же полезностью.

Принцип ожидания. Стоимость объекта оценки определяется не столько факторами, существующими сегодня, сколько ожидаемыми событиями. Полезность объекта оценки связана со стоимостью прогнозируемых выгод.

Принцип ожидания заключается в определении текущей стоимости дохода или других выгод, которые могут быть получены в будущем от владения данным объектом оценки.

К принципам, связанным с эксплуатацией оценки, относятся:

-  остаточная продуктивность;

-  вклад;

-  сбалансированность;

-  возрастающие и уменьшающиеся доходы (предельная производительность);

-  экономическая величина;

-  экономическое разделение.

Остаточная продуктивность может быть результатом того, что земля дает возможность пользователю извлекать максимальные доходы или до предела уменьшать затраты. Собственность может быть оценена выше, если земельный участок позволяет обеспечить более высокий доход или его расположение позволяет минимизировать затраты.

Экономическая теория утверждает, что любой вид экономической деятельности обычно требует наличия некоторых факторов производства: труд, земля, капитал, предпринимательская деятельность. Остаточная продуктивность измеряется как чистый доход, отнесенный к земле, после того как были оплачены затраты на труд, капитал и предпринимательство.

Принцип вклада основывается на следующем: включение любого дополнительного фактора в объект оценки экономически целесообразно, если получаемый прирост стоимости больше затрат на приобретение или строительство этого фактора. Указанный прирост стоимости и является вкладом.

Принцип сбалансированности утверждает, что максимальный доход от объекта оценки можно получить при соблюдении оптимальных величин факторов производства. Иными словами факторы производства должны находиться в пропорциональном соотношении друг с другом, чтобы обеспечить максимальные доходы владельцу объекта оценки.

Принцип возрастающих и уменьшающихся доходов. Исходя из предыдущего принципа изменение того или иного фактора производства приведет к изменению стоимости объекта оценки. Принцип возрастающих и уменьшающихся доходов гласит, что по мере добавления ресурсов к основным факторам производства чистые доходы будут увеличиваться более быстрыми темпами по сравнению с темпами роста затрат вплоть до той точки, начиная с которой общие доходы хотя и растут, однако уже замедляющимися темпами. Это замедление происходит до тех пор, пока прирост стоимости не станет меньше, чем затраты на добавленные ресурсы.

Принцип экономической величины (экономического размера) – это оптимальный характерный размер объекта оценки, который наилучшим способом соответствует рыночным предпочтениям, преобладающим на данном рынке. Отклонение от экономического размера, как правило, приводит к снижению привлекательности и стоимости объекта.

Если земельный участок или предприятие слишком малы или слишком велики относительно требований рынка, то они могут потерять в стоимости.

Принцип экономического разделения – это такое сочетание имущественных прав, связанных с объектом оценки, при котором обеспечивается оптимальная структура текущих и ожидаемых выгод и как следствие максимальная стоимость. Имущественные права могут быть различными способами распределены во времени и пространстве.

К принципам, связанным с действием рыночной среды, относят:

-  принцип спроса и предложения;

-  принцип конкуренции;

-  принцип соответствия;

-  принцип зависимости;

-  принцип изменения.

Предложение и спрос – это ведущий фактор, влияющий на ценообразование в рыночной экономике. Закон предложения и спроса это экономическая закономерность, связывающая объем спроса, объем предложения и цены товаров на рынке. Когда объем предложения и спроса сбалансированы, то рыночная цена как правило отражает затраты производства на оцениваемую собственность. Если рыночные цены больше затрат на производство, то объем предложения будет расти, пока не наступит равновесие. Если рыночные цены ниже затрат, то объем предложения будет падать. Цена находится в прямой зависимости с объемом предложения и в обратной с объемом спроса. Взаимодействие спроса и предложения формирует рыночные цены на собственность.

Конкуренция. Прогнозируя объем ожидаемых выгод, приносимых собственностью, аналитику нужно помнить, что конкуренция стимулирует постоянный переток ресурсов в те отрасли и сферы, где их использование приносит максимальную отдачу и способствует выравниванию доходов.

Принцип соответствия. Объект оценки, характеристики которого не соответствуют рыночным потребностям, скорее всего будет оценен ниже среднего уровня. К характеристикам можно отнести уровни удобств и услуг, технологии, оснащенность производства и т.д.

С принципом соответствия связаны принципы регрессии и прогрессии. Регрессия имеет место, когда оцениваемый объект оценки характеризуется улучшением. Рыночная цена такого объекта не будет отражать его реальную стоимость и может быть даже меньше затрат не его производство. Эффект регрессии может проявляться в случае, когда оцениваемый объект существенно отличается в лучшую сторону от окружающих его по назначению и масштабу. Эффект прогрессии это положительное воздействие несоответствия на стоимость. То есть когда стоимость среднего по качеству объекта оценки завышается благодаря благоприятному окружению.

Принцип изменения. Объекты оценки постепенно изнашиваются. Изменение политических, экономических и социальных сил влияет на конъюнктуру рынка, уровень цен и стоимость объектов. Стоимость объекта оценки, поэтому оценивается на определенную дату, которая указывается в отчете об оценке.

Принцип зависимости. Стоимость объекта оценки зависит от многих факторов внешней и внутренней среды, поэтому их необходимо тщательно изучать и использовать в оценке. Например, в оценке недвижимости существенную роль играет местоположение объекта, в оценке машин и оборудования – фактор износа.

Принцип наилучшего и наиболее эффективного использования – синтез всех трех групп принципов, рассмотренных ранее. Наилучшим и наиболее эффективным использованием (ННЭИ) называется вариант, который:

-  отвечает всем правовым требованиям и ограничениям;

-  физически осуществим;

-  экономически эффективен;

-  максимально продуктивен.

То есть обеспечит объекту оценки наивысшую текущую стоимость. ННЭИ чаще всего используется в оценке недвижимости для определения наилучшего варианта использования земельного участка или участка с постройками, используется также при определении наилучшего варианта реструктуризации в оценке бизнеса и в других случаях.

Основанием для проведения оценки является договор на проведение оценки, заключенный между оценщиком и заказчиком в соответствии с гражданским законодательством Республики Казахстан.

По договору на проведение оценки оценщик обязуется выполнить услуги для установления рыночной или иной стоимости объектов оценки, а заказчик обязуется оплатить эти услуги.

В случаях, предусмотренных законодательными актами, оценка объекта, в том числе повторная, должна быть произведена на основании решения суда или уполномоченного органа.

К договору на проведение оценки применяются нормы Гражданского кодекса Республики Казахстан о договоре возмездного оказания услуг.

Договор на проведение оценки должен содержать:

1) реквизиты заказчика и оценщика:

-  для физического лица — фамилию, имя, отчество (при его наличии), место жительства;

-  для юридического лица — наименование, место нахождения (почтовый адрес), банковские реквизиты;

2) наименование и (или) место нахождения объекта (объектов) оценки, вид определяемой стоимости;

3) вид оценки;

4) вид объекта оценки;

5) сроки проведения оценки;

5-1) указание на стандарты оценки, которые будут применяться при проведении оценки;

6) условия, порядок и размер оплаты за оказываемые услуги;

7) права, обязанности и ответственность сторон;

8) реквизиты документа, подтверждающего право собственности заказчика на объект оценки, либо иные основания, предоставляющие право заказчику на заключение договора об оценке;

9) реквизиты лицензии на право осуществления деятельности по оценке имущества (номер и дату выдачи лицензии с указанием органа, выдавшего ее).

По результатам проведенной оценки составляется отчет об оценке в двух экземплярах, один из которых хранится у заказчика, второй — у оценщика. Требования к форме и содержанию отчета об оценке устанавливаются в нормативных правовых актах в области оценочной деятельности.

Отчет, составленный оценщиком, являющимся индивидуальным предпринимателем, подписывается им и заверяется его личной печатью.

Отчет юридического лица, имеющего лицензию на осуществление оценочной деятельности, подписывается оценщиком — физическим лицом, утверждается руководителем юридического лица либо уполномоченным им лицом и заверяется печатью.

В случае, если оценка проводилась несколькими оценщиками по разным объектам оценки, входящим в состав оцениваемого объекта оценки, отчет подписывается каждым оценщиком с указанием объектов оценки, по которым он проводил оценку.

В отчете об оценке должны быть указаны:

1) наименование (фамилия, имя, отчество (при его наличии) оценщика;

2) номер и дата выдачи лицензии на право осуществления деятельности по оценке имущества;

3) вид определяемой стоимости;

4) дата составления отчета и дата оценки;

5) наименование и (или) место нахождения и описание объекта (объектов) оценки;

6) подходы к оценке и методы оценки, используемые при проведении оценки;

7) стандарты оценки, используемые при проведении оценки;

8) фактические данные, используемые при проведении оценки, с указанием источника их получения;

9) обоснование расчета;

10) результат оценки;

11) иные сведения, необходимые для полного и однозначного толкования результата проведенной оценки.

Оценка не может проводиться оценщиком, если:

-  в отношении объекта оценки оценщик имеет либо приобретает вещные или обязательственные права вне договора;

-  оценщик является акционером, учредителем, работником, собственником, участником, кредитором, дебитором, спонсором юридического лица - заказчика, либо оценщик - физическое лицо является близким родственником или свойственником с заказчиком - физическим лицом;

-  оценщик - юридическое лицо, в котором руководитель либо уполномоченное им лицо состоит в близких родственных или свойственных связях с заказчиком - физическим лицом и (или) руководителем либо уполномоченным им лицом юридического лица [1].

Не допускается вмешательство заказчика либо иных заинтересованных лиц в деятельность оценщика, если это может негативно повлиять на достоверность результата проведения оценки, в том числе ограничение круга вопросов, подлежащих выяснению при проведении оценки.

Размер оплаты оценщику за проведение оценки не может выражаться в процентном отношении к определяемой стоимости объекта оценки и устанавливается по соглашению сторон до выполнения работ.

Страхование гражданско-правовой ответственности оценщика является одним из условий, обеспечивающих защиту интересов потребителей услуг оценщика.

Страхование гражданско-правовой ответственности оценщика, возникающей вследствие причинения вреда в результате проведения оценки, осуществляется в порядке, определенном законодательными актами Республики Казахстан.

Стандартами оценки в Республике Казахстан признаются стандарты оценки, разработанные в соответствии с законодательством Республики Казахстан и утвержденные уполномоченным органом [15, 16, 17, 18, 18, 19, 20, 21, 22].

Оценщики при осуществлении оценочной деятельности имеют право использовать международные стандарты в области оценочной деятельности, не противоречащие законодательству Республики Казахстан.

Стандарты оценки являются общеобязательными для всех субъектов оценочной деятельности и распространяют свое действие на всей территории Республики Казахстан.

Стандарты оценки не относятся к нормативным документам по стандартизации, принятие которых осуществляется в соответствии с законодательством Республики Казахстан о техническом регулировании.

Оценщик имеет право:

1) самостоятельно применять методы оценки и подходы к оценке в соответствии со стандартами оценки и (или) с международными стандартами с указанием источника;

2) требовать от заказчика при проведении оценки обеспечения доступа к объекту, а также в полном объеме к документации, необходимой для осуществления оценки;

3) получать у заказчика разъяснения и дополнительные сведения, необходимые для осуществления оценки;

4) привлекать по мере необходимости на договорной основе к участию в проведении оценки иных оценщиков либо других специалистов;

5) отказаться от проведения оценки в случаях, если заказчик нарушил условия договора, не обеспечил предоставление необходимой информации об объекте оценки;

6) запрашивать в письменной или устной форме у третьих лиц информацию, необходимую для проведения оценки, за исключением сведений, составляющих государственные секреты, коммерческую и иную охраняемую законом тайну.

В случае, если отказ в предоставлении указанной информации существенным образом влияет на достоверность результатов оценки, оценщик указывает это в отчете.

Оценщик обязан:

1) соблюдать при осуществлении оценочной деятельности требования настоящего Закона, стандартов оценки, а также иных нормативных правовых актов Республики Казахстан;

1-1) соблюдать правила деловой и профессиональной этики, утвержденные палатой оценщиков, членом которой он является;

1-2) состоять членом только одной палаты оценщиков;

2) сообщать заказчику о невозможности своего участия в проведении оценки вследствие возникновения обстоятельств, препятствующих проведению объективной оценки;

3) обеспечивать сохранность и конфиденциальность документов, получаемых от заказчика и третьих лиц в ходе проведения оценки;

4) предоставлять по требованию представителя уполномоченного органа и заказчика лицензию на осуществление деятельности по оценке имущества;

5) не разглашать конфиденциальную информацию, полученную от заказчика и третьих лиц в ходе проведения оценки, за исключением случаев, предусмотренных законодательными актами;

6) осуществлять непосредственное обследование объекта и представлять заказчику отчет об оценке;

7) вести книгу отчетов проведения оценки с указанием нумерации договоров на проведение оценки в хронологическом порядке;

8) хранить составленные отчеты об оценке в течение 5 лет;

9) в случаях, предусмотренных законодательными актами Республики Казахстан, предоставлять копии хранящихся отчетов об оценке или информацию государственным органам по их законному требованию [1].

Оценщик несет ответственность за:

1) нарушение требований нормативных правовых актов в области оценочной деятельности, а также стандартов оценки, правил деловой и профессиональной этики;

2) разглашение сведений, составляющих государственные секреты, коммерческую тайну;

3) недостоверную оценку;

4) сохранность и целостность документов и другой информации, предоставляемой ему для проведения оценки;

5) не предоставление копий отчетов об оценке или информации государственным органам в случаях, установленных законодательными актами Республики Казахстан [1].

2.2 Основные направления правового регулирования оценочной деятельности в Республике Казахстан

Государственная политика в области оценочной деятельности определяет основные требования к оценщикам и оценочной деятельности, устанавливает правовые основы регулирования и саморегулирования оценочной деятельности.

Целью Концепции развития оценочной деятельности на 2010-2020 годы является изложение основ государственной политики в области развития оценочной деятельности на современном этапе [23].

Основные задачи Концепции заключаются в следующем:

-  обеспечение защиты прав собственности на имущество за счет объективной рыночной оценки его стоимости;

-  формирование и развитие цивилизованного саморегулируемого рынка оценочных услуг;

-  разработка, внедрение и поддержание единых правил добросовестной конкуренции на отечественном рынке оценки;

-  совершенствование системы подготовки и переподготовки кадров профессиональных оценщиков;

-  формирование и поддержание нормативно-правовой базы оценочной деятельности как одного из стержневых элементов казахстанской экономики;

-  совершенствование государственного контроля за деятельностью оценщиков;

-  создание системы общественного контроля субъектов оценочной деятельности;

-  защита интересов оценочного сообщества от непредусмотренного законодательством вмешательства государственных органов и должностных лиц;

-  обеспечить эволюционный переход от лицензирования к саморегулированию оценочной деятельности [23].

Для достижения намеченных целей необходимо решить следующие задачи:

-  разработать и утвердить государственную программу развития оценочной деятельности в Республике Казахстан на среднесрочный период;

-  создать системы и организационную структуру саморегулирования оценочной деятельности;

-  совершенствовать нормативную правовую базу оценочной деятельности;

-  создать постоянно действующий Межведомственный совет по оценочной деятельности;

-  разработать механизм эффективного контроля качества оценочных работ;

-  реорганизовать РГП Центры по регистрации недвижимости, исключив из их функций деятельность по оценке имущества, т.к. в большинстве случаев для оформления технического паспорта они требуют обязательной оценки недвижимости и выполняют эту работу по лицензии, выданной их учредителем;

-  обеспечить переход от лицензирования к саморегулированию эволюционно - без потерь для субъектов оценочной деятельности – как потребителей услуг оценочной деятельности, так и самих оценщиков;

-  не допустить возникновения недобросовестной конкуренции, как между оценщиками, так и между объединениями оценщиков;

-  обеспечить меры по поддержанию качества оценочных услуг, в частности, за счет неукоснительности соблюдения требований Закона и Стандартов, а в дальнейшем, и повышения требований к оценщикам за счет разработки и внедрения единой системы сертификации;

-  добиться протекционистских мер по защите отечественных производителей оценочных услуг, подобных осуществляемым в банковской и страховой сферах (задача-максимум). Добиться на отечественном рынке равных условий с западными оценщиками (задача-минимум);

-  создать единую систему обучения и переподготовки оценщиков для чего ввести аккредитацию ВУЗов и учебных центров и утверждение (согласование) программ обучения и переподготовки оценщиков;

-  исключить из законодательства понятие «оценщик - юридическое лицо» и установить, что оценщик – это только физическое лицо, которое несет личную ответственность за недостоверную оценку. Оценочная компания, заключившая договор с заказчиком в соответствии с ГК РК несет ответственность за ненадлежащее исполнение договора, но персональную ответственность должен нести оценщик;

-  создать системы досудебного регулирования споров и массовой оценки недвижимости, путем создания экспертных советов и третейских судов;

-  принять меры по расширению рынка оценочных услуг, что в свою очередь будет способствовать развитию рыночных отношений в различных сферах деятельности и повышению их эффективности. Включить следующие виды объектов оценки: инвестиционные проекты, кадастровая оценка земли, налоговая оценка имущества физических лиц, ломбарды, интеллектуальная собственность, материальный и моральный ущерб, которые должны выполнять оценщики.

-  осуществить переход всех сфер деятельности на рыночную стоимость (налоги, аренда госсобственности, контракты на недропользование, оценка инвестиционных проектов, и т.д.);

-  разработать нормативные правовые акты, регулирующие взаимоотношение между оценщиками и аудиторами, банками, страховыми компаниями, финансовыми институтами и т.д.

-  создать систему информационного обеспечения оценочной деятельности;

-  создать условия для организации научных исследований в области оценки имущества в рамках программы инновационного развития Казахстана (гранты, госзаказ) [23].

Оценщик в соответствии с терминологией Международных стандартов – это физическое лицо, обладающее необходимой квалификацией и являющееся членом профессиональной организации. Для того, чтобы привести положения закона «Об оценочной деятельности в РК» в соответствие с МСО 2007, необходимо исключить термин: оценщик - юридическое лицо. В настоящее время юридическое лицо имеет право получить лицензию, если в его штате числится и работает не менее 2-х лицензированных оценщиков - физических лиц. Кроме того, в приказ (приложение к лицензии) включаются и другие лица, имеющие право осуществлять оценку. Такая система не позволяет осуществить учет и подсчитать, сколько же физических лиц в Казахстане имеет право заниматься оценочной деятельностью. Кроме того, физические лица часто переходят из одного юридическое лицо в другое, и проконтролировать этот процесс сложно. Есть случаи, когда оценочную фирму организовывает и возглавляет лицо, не имеющее лицензии, но являющееся родственником (свойственником) руководителя банка или другого крупного заказчика. Так как физические лица и юридические лица не обязаны сообщать о перемене своего почтового адреса, в настоящее время связь с ними у уполномоченного органа полностью утрачена. После отмены лицензирования положение еще более усугубится.

Страницы: 1, 2, 3, 4


© 2010 Реферат Live